2,5-二氯苯甲酸

结构式
| 物竞编号 | 0146 |
|---|---|
| 分子式 | c7h4cl2o2 |
| 分子量 | 191 |
| 标签 |
2,5-二氯安息香酸, 农药中简体;脂肪族羧酸及其衍生物 |
编号系统
cas号:50-79-3
mdl号:mfcd00002416
einecs号:200-065-7
rtecs号:dg6825000
brn号:973353
pubchem号:24848693
物性数据
1. 性状:白色针状结晶粉末。在蒸气中有部分挥发。
2. 密度(g/ml,25/4℃):未确定
3. 相对蒸汽密度(g/ml,空气=1):未确定
4. 熔点(ºc):154.4°c(lit.)
5. 沸点(ºc,常压):301 °c(lit.)
6. 沸点(ºc, 5.2 kpa):未确定
7. 折射率:未确定
8. 闪点(ºc):300-302°c
9. 比旋光度(º):未确定
10. 自燃点或引燃温度(ºc):未确定
11. 蒸气压(kpa,25 ºc):未确定
12. 饱和蒸气压(kpa,60 ºc):未确定
13. 燃烧热(kj/mol):未确定
14. 临界温度(ºc):未确定
15. 临界压力(kpa):未确定
16. 油水(辛醇/水)分配系数的对数值:未确定
17. 爆炸上限(%,v/v):未确定
18. 爆炸下限(%,v/v):未确定
19. 溶解性:溶于乙醇和乙醚,可溶于热水(<0.1 g/100 ml at 19 ºc)。
毒理学数据
1、急性毒性:小鼠皮下ld50:1200mg/kg;小鼠腹腔ld50:237mg/kg2、致突变性:突变测试系统-而不是其他specifiedtest系统:细菌-鼠伤寒沙门氏菌:1mg/l
生态学数据
暂无
分子结构数据
暂无
计算化学数据
1.疏水参数计算参考值(xlogp):无
2.氢键供体数量:1
3.氢键受体数量:2
4.可旋转化学键数量:1
5.互变异构体数量:无
6.拓扑分子极性表面积37.3
7.重原子数量:11
8.表面电荷:0
9.复杂度:161
10.同位素原子数量:0
11.确定原子立构中心数量:0
12.不确定原子立构中心数量:0
13.确定化学键立构中心数量:0
14.不确定化学键立构中心数量:0
15.共价键单元数量:1
性质与稳定性
暂无
贮存方法
本品密封避光干燥保存。按有毒化学品的规定贮运。
合成方法
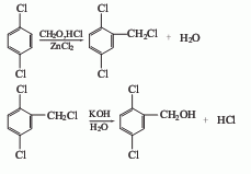
1.光气法 由对二氯苯与光气反应得2,5-二氯苯甲酰氯,再经水解而得。
2.氯甲基化法由对二氯苯与多聚甲醛作用,再经高锰酸钾氧化而得。对二氯苯的氯甲基化收率为53.4%,第三步氧化反应的收率为83%


3.三氯苯法以1,2,4-三氯苯为原料,制成2,5-二氯苯腈后再经碱解而得。
4.苯甲酰氯法由苯甲酰氯经氯化、水解而得。苯甲酰氯的氯化温度控制在35-45℃之间,得到的氯化物主要成分为2,5-二氯苯甲酰氯(含量65%),再在存在浓硫酸的条件下,于40-50℃水解。
5.对二氯苯四氯化碳法。

用途
作有机合成中间体。用于合成除草剂豆科威、地草平等,该农药药害少,不受雨天影响。
扩展阅读https://www.newtopchem.com/archives/44674扩展阅读https://www.newtopchem.com/archives/1864扩展阅读https://www.newtopchem.com/archives/787扩展阅读https://www.cyclohexylamine.net/dabco-bl-17-niax-a-107-jeffcat-zf-54/扩展阅读https://www.cyclohexylamine.net/polyurethane-tertiary-amine-catalyst-catalyst-25-s/扩展阅读https://www.cyclohexylamine.net/cas-1067-33-0-dibutyl-tin-diacetate/扩展阅读https://www.newtopchem.com/archives/category/products/page/173扩展阅读https://www.cyclohexylamine.net/dabco-33-lsi/扩展阅读https://www.bdmaee.net/niax-ef-712-low-emission-tertiary-amine-catalyst-/扩展阅读https://www.newtopchem.com/archives/44944

