2,4-二硝基苯酚

结构式
| 物竞编号 | 014m |
|---|---|
| 分子式 | c6h4n2o5 |
| 分子量 | 184.11 |
| 标签 |
α-二硝基酚, 2-硝基酚, 2-dinitrophenol, a-dinitrophenol, 酸碱指示剂 |
编号系统
cas号:51-28-5
mdl号:mfcd00007115
einecs号:200-087-7
rtecs号:sl2800000
brn号:1246142
pubchem号:24861147
物性数据
1.性状:浅黄色结晶或粉末[1]
2.熔点(℃):114~115[2]
3.沸点(℃):升华[3]
4.相对密度(水=1):1.68[4]
5.相对蒸气密度(空气=1):6.35[5]
6.燃烧热(kj/mol):-2708.6[6]
7.辛醇/水分配系数:1.54~1.67[7]
8.溶解性:不溶于冷水,溶于热水、乙醇、乙醚、丙酮、苯、氯仿。[8]
毒理学数据
1.急性毒性[9]
ld50:30mg/kg(大鼠经口);72mg/kg(小鼠经口);700mg/kg(豚鼠经皮)
2.刺激性[10] 家兔经皮:300mg(4周,间歇),轻度刺激。
3.致突变性[11]
微生物致突变:大肠杆菌200ppm(3h)。dna抑制:仓鼠肺脏7mmol/l。dna损伤:大鼠肝100μmol/l。
4.其他[12] 小鼠腹腔低中毒剂量(tdlo):40800μg/kg(孕10~12d),有胚胎毒性。
生态学数据
1.生态毒性[13]
lc50:0.62mg/l(96h)(蓝鳃太阳鱼);0.7mg/l(96h)(大西洋鲑);6.58~13.3mg/l(96h)(黑头呆鱼,动态);4.85mg/l(96h)(糖虾);4.09~4.71mg/l(96h)(水蚤);98mg/l(96h)(肋骨条藻)
2.生物降解性[14]
好氧生物降解(h):1622~6312
厌氧生物降解(h):68~170
3.非生物降解性[15]
光解大光吸收(nm):365
水中光氧化半衰期(h):77~3840
空气中光氧化半衰期(h):111~1114
分子结构数据
1、摩尔折射率:41.22
2、摩尔体积(cm3/mol):111.5
3、等张比容(90.2k):333.2
4、表面张力(dyne/cm):79.6
5、极化率(10-24cm3):16.34
计算化学数据
1.疏水参数计算参考值(xlogp):无
2.氢键供体数量:1
3.氢键受体数量:5
4.可旋转化学键数量:0
5.互变异构体数量:4
6.拓扑分子极性表面积112
7.重原子数量:13
8.表面电荷:0
9.复杂度:220
10.同位素原子数量:0
11.确定原子立构中心数量:0
12.不确定原子立构中心数量:0
13.确定化学键立构中心数量:0
14.不确定化学键立构中心数量:0
15.共价键单元数量:1
性质与稳定性
1.稳定性[16] 稳定
2.禁配物[17] 强氧化剂、强碱、酰基氯、酸酐、重金属粉末
3.避免接触的条件[18] 摩擦、撞击、受热
4.聚合危害[19] 不聚合
5.分解产物[20] 氮氧化物
贮存方法
储存注意事项[21] 储存于阴凉、通风良好的专用库房内,实行“双人收发、双人保管”制度。远离火种、热源。库温不宜超过35℃。包装密封。应与氧化剂、碱类、食用化学品分开存放,切忌混储。采用防爆型照明、通风设施。禁止使用易产生火花的机械设备和工具。储区应备有合适的材料收容泄漏物。
合成方法
1.由2,4-二硝基氯苯在碱溶液中水解而得。将1400l水加到水解锅中,搅拌加热至60℃,将750kg已熔化的2,4-二硝基氯苯加入锅内。继续升温到90℃,于1.5h内逐渐加入780l30%的氢氧化钠溶液。加料中温度上升,控制温度不超过102-104℃,保温30min。冷却,过滤析出的钠盐。用水溶解,酸化至ph为1,即析出2,4-二硝基酚的黄色结晶。另一种制备方法是由苯酚低温硝化而得。将67%的硫酸、53%的硝酸和苯酚在30℃以下混合均匀,然后,搅拌下加热至90℃,混合物开始激烈反应,并放出氧化氮,控制反应速度,减少反应物损失。反应缓和后再加热30min,冷却,过滤,水洗即得产品。精制可采用酸碱法或用乙醇重结晶。
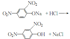
2.将水加热至60℃后,加入已熔化的2,4-二硝基氯苯 ( 氯苯:水≈1∶ 2 ) , 搅拌并升温至90℃,然后分批加入35%的氢氧化钠溶液至反应结束后无油珠存在。反应过程中应控制反应温度不超过102~104℃:

氢氧化钠溶液加完后保温30min,并不断搅拌至油层消失,水解反应完全。静置,冷却结晶至完全,滤出的2,4-二硝基酚钠盐用适量温水溶解后,加入盐酸至ph值为1,即可析出2,4二硝基苯酚:

所得结晶用少量冷水洗至中性。再用热水重结晶即可
用途
1.主要用于硫化染料生产,如硫化黑bn;brn;2brn等。也用于生产苦味酸和显影剂等。分析化学中用作酸碱指示剂,变色范围是ph=2.8(无色)-4.4(黄色);还可用于检测钾;铵;镁等。
2.用于有机合成、染料、炸药等。[22]
扩展阅读https://www.bdmaee.net/wp-content/uploads/2022/08/31-13.jpg扩展阅读https://www.newtopchem.com/archives/867扩展阅读https://www.newtopchem.com/archives/462扩展阅读https://www.cyclohexylamine.net/dabco-pt304-polyurethane-rigid-foam-catalyst-pt304/扩展阅读https://www.bdmaee.net/niax-k-zero-3000-trimer-catalyst-/扩展阅读https://www.cyclohexylamine.net/dabco-delay-type-catalyst-delay-type-strong-gel-catalyst/扩展阅读https://www.newtopchem.com/archives/44177扩展阅读https://www.cyclohexylamine.net/balance-catalyst-polycat-17-polyurethane-semi-hard-foam-catalyst/扩展阅读https://www.bdmaee.net/wp-content/uploads/2022/08/polyurethane-thermal-delay-catalyst-nt-cate-129-heat-sensitive-metal-catalyst-1.pdf扩展阅读https://www.morpholine.org/catalyst-dabco-8154-acid-blocked-tertiary-amine-catalyst/

