5-硝基-2-糠醛二乙酸酯

结构式
| 物竞编号 | 024w |
|---|---|
| 分子式 | c9h9no7 |
| 分子量 | 243.17 |
| 标签 |
5-硝基呋喃亚甲基二乙酯, 2-(乙酰基甲基)-5-硝基呋喃, 5-硝基糠醛二乙酰乙缩醛, 5-nitro-2-furanmethandiol diacetate, 杂环化合物 |
编号系统
cas号:92-55-7
mdl号:mfcd00003244
einecs号:202-166-1
rtecs号:lu1940000
brn号:255089
pubchem号:暂无
物性数据
1. 性状:白色结晶性粉末或颗粒。
2. 密度(g/ml,25/4℃): 未确定
3. 相对蒸汽密度(g/ml,空气=1):未确定
4. 熔点(ºc):90~92
5. 沸点(ºc,常压):未确定
6. 沸点(ºc,5.2kpa):未确定
7. 折射率:未确定
8. 闪点(ºc): 未确定
9. 比旋光度(º):未确定
10. 自燃点或引燃温度(ºc):未确定
11. 蒸气压(kpa,25ºc):未确定
12. 饱和蒸气压(kpa,60ºc):未确定
13. 燃烧热(kj/mol):未确定
14. 临界温度(ºc):未确定
15. 临界压力(kpa):未确定
16. 油水(辛醇/水)分配系数的对数值:未确定
17. 爆炸上限(%,v/v):未确定
18. 爆炸下限(%,v/v):未确定
19. 溶解性:未确定
毒理学数据
暂无
生态学数据
暂无
分子结构数据
1、 摩尔折射率:52.09
2、 摩尔体积(cm3/mol):174.1
3、 等张比容(90.2k):460.8
4、 表面张力(dyne/cm):49.0
5、 极化率(10-24cm3):20.65
计算化学数据
1.疏水参数计算参考值(xlogp):无
2.氢键供体数量:0
3.氢键受体数量:7
4.可旋转化学键数量:5
5.互变异构体数量:无
6.拓扑分子极性表面积112
7.重原子数量:17
8.表面电荷:0
9.复杂度:308
10.同位素原子数量:0
11.确定原子立构中心数量:0
12.不确定原子立构中心数量:0
13.确定化学键立构中心数量:0
14.不确定化学键立构中心数量:0
15.共价键单元数量:1
性质与稳定性
低毒。微粒体突变试验鼠伤寒菌10μg/平皿。参见糠醛。
贮存方法
本品应密封避光保存。
采用内衬塑料袋的铁桶或胶合板桶包装。贮存于阴凉、通风处。防潮、防晒。按一般化工产品规定贮运。
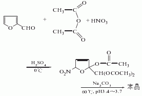
合成方法
由糠醛经硝化、酯化而得。将乙酐加入反应锅,降温至-5℃,滴加加料量的1/5的混酸(硝酸与硫酸)后,再同时滴加硝酸与糠醛(1:2体积)的混合液,控制温度在0℃左右,约5-6h加完,继续滴加一部分糠醛。然后,搅拌1h,加水和碳酸钠溶液,升温至55-62℃,保温1h。冷却至15℃,过滤,用水洗涤,甩干即得成品,收率85%。

用途
是医药中间体,用于制呋喃类抗感染药(痢特灵、呋喃西林、呋喃坦丁等)。
扩展阅读https://www.bdmaee.net/catalyst-c-225/扩展阅读https://www.bdmaee.net/wp-content/uploads/2022/08/60.jpg扩展阅读https://www.bdmaee.net/fascat4350-catalyst/扩展阅读https://www.newtopchem.com/archives/40004扩展阅读https://www.newtopchem.com/archives/44300扩展阅读https://www.cyclohexylamine.net/a300-catalyst-a300-catalyst-a-300/扩展阅读https://www.cyclohexylamine.net/tertiary-amine-catalyst-xd-104-catalyst-xd-104/扩展阅读https://www.bdmaee.net/delayed-amine-a-300/扩展阅读https://www.cyclohexylamine.net/polyurethane-catalyst-polycat-sa-102-dbu-octoate/扩展阅读https://www.cyclohexylamine.net/high-quality-246-trisdimethylaminomethylphenol-cas-90-72-2-dmp-30/

